Delay Approximation in Continuous Time Systems

Abstract

Delays often occur between an input into a system and the output from that system. Delays complicate dynamics, create system instabilities, and reduce the information that systems can use to respond to the environment. Adjusting for delays often requires systems to predict future states based on past inputs. Error-correcting feedback can enhance a system's predictions and improve its ability to cope with delays.

Keywords

  • Smith Predictor
  • Closed-loop System Response
  • sensorSensor
  • Transfer functionTransfer Function
  • Target Reference Value

These keywords were added by machine and not by the authors. This process is experimental and the keywords may be updated as the learning algorithm improves.

You suddenly notice a ball flying toward your head. Your first reaction happens after a delay. To avoid the ball, you must consider where your head will be after its delayed response in relation to where the ball will be.

This chapter presents models for delay dynamics and discusses a control method that compensates for delays.

1 Background

Delays often occur in the signals that flow between components of a control system. An uncompensated delay may reduce system performance. Suppose, for example, that the sensor measuring the system output, y, requires \(\delta \) time units to process and pass on its measured value as a feedback signal.

The delayed feedback signal reports the system output \(\delta \) time units before the current time, which we write as \(y(t-\delta )\). The calculated error between the current reference input and the delayed feedback, \(r(t)-y(t-\delta )\), may not accurately reflect the true error between the target value and the current system output value, \(r(t)-y(t)\).

Delays may destabilize a system. If the calculated error overestimates the true error, then the system may overcompensate, pushing the system output away from the target reference value rather than toward it.

Fig. 13.1
figure 1

Time delays in feedback loops. a Sensor delay. The sensor that measures system output and passes that value as feedback has a delay of \(\delta \) time units between the system input and the measured output. The transfer function \(e^{-\delta s}\) passes its input unmodified but with a delay of \(\delta \) time units. b Process delay. The system process, \(Pe^{-\delta s}\), has a lag of \(\delta \) time units between the time at which a control input signal, u, is received and the associated system output signal, y, is produced

Full size image

The robust control methods discussed in earlier chapters can reduce the instabilities created by delays. Robust control creates a significant stability margin. A large stability margin means that factors not directly included in the design, such as unknown delays, will usually not destabilize the system.

In addition to general robust approaches, many specific design methods deal explicitly with delays. The delays are often called dead time or transport lag (Åström and Hägglund 2006; Normey-Rico and Camacho 2007; Visioli and Zhong 2011).

The design methods typically use a prediction model. A prediction allows the system to use measured signal values at time \(t-\delta \) to estimate the signal values at time t.

2 Sensor Delay

Figure 13.1a shows a standard feedback loop with a sensor delay. The sensor that measures the process output, y, delays passing on the measured value by \(\delta \) time units.

In Fig. 13.1a, the transfer function \(e^{-\delta s}\) describes the delay. That transfer function passes its input unmodified, but with a delay of \(\delta \) . Thus, the measured output that is passed by the sensor as feedback is given by the transfer function \(Ye^{-\delta s}\), which transforms inputs, y(t), into the time-delayed outputs, \(y(t-\delta )\).

We can derive how the delay influences the closed-loop system response in Fig. 13.1a. Define the open loop of the system as \(L=CP\), as in Eq. 3.4. Then we can write the system output as \(Y=LE\), the error input, E, multiplied by the open-loop system process, L.

The error is the difference between the reference input and the feedback output from the sensor, \(E=R-Ye^{-\delta s}\). Substituting this expression for the error into \(Y=LE\), we obtain the transfer function expression for the closed-loop system response, \(G=Y/R\), as

$$\begin{aligned} G(s)=\frac{L(s)}{1+L(s)e^{-\delta s}}. \end{aligned}$$

(13.1)

3 Process Delay

Figure 13.1b illustrates a feedback system with a process delay. The full process, \(Pe^{-\delta s}\), requires \(\delta \) time units to transform its input to its output. Thus, the process output lags behind the associated control input to the process by \(\delta \) time units.

The open loop in Fig. 13.1b is \(Le^{-\delta s}=CPe^{-\delta s}\). We can derive the closed-loop system response by the method used to derive Eqs. 3.4 and 13.1, yielding

$$\begin{aligned} G(s)=\frac{L(s)e^{-\delta s}}{1+L(s)e^{-\delta s}}. \end{aligned}$$

(13.2)

The simple transfer function description for signal delays allows one to trace the consequences of delays through a system with many components that are each approximately linear.

4 Delays Destabilize Simple Exponential Decay

This section illustrates how delays can destabilize a system. I analyze a simple open-loop integrator, \(L(s)=k/s\). That transfer function corresponds to dynamics given by \(\dot{x}(t)=kr(t)\), for reference input r, which has solution \(x(t)=k\int _0^t r(\tau )\text {d}\tau \) for initial condition \(x_0=0\). Thus, the output of L is the integral of its input multiplied by the gain, k. I assume throughout this section that the output equals the system state, \(y(t)=x(t)\).

A standard negative feedback system has transfer function \(G=L/(1+L)\), which for \(L=k/s\) is

$$\begin{aligned} G(s)=\frac{k}{k+s}, \end{aligned}$$

which has dynamics

$$\begin{aligned} \dot{x}(t)=-kx(t)+kr(t)=k [r(t)-x(t)]. \end{aligned}$$

The error signal is \(r(t)-x(t)\). The solution is the integral of the error signal.

For constant input, \(\hat{r}=r(t)\), the solution is a constant exponential decay toward the equilibrium setpoint at rate k. Without loss of generality, we can take the setpoint as \(\hat{r}=0\) and write the solution as

$$\begin{aligned} x(t)=x_0e^{-kt}. \end{aligned}$$

We can apply the same approach for the sensor delay system in Eq. 13.1. For \(L=k/s\), the system transfer function is

$$\begin{aligned} G(s)=\frac{k}{ke^{-\delta s}+s}, \end{aligned}$$

(13.3)

in which the term \(e^{-\delta s}\) expresses the delay by \(\delta \). The differential equation for this system is

$$\begin{aligned} \dot{x}(t)=k [r(t)-x(t-\delta )], \end{aligned}$$

(13.4)

which, for reference input \(\hat{r}=0\), is

$$\begin{aligned} \dot{x}(t)=-kx(t-\delta ). \end{aligned}$$

This system expresses a delay differential process. Although this delay differential system is very simple in structure, there is no general solution. A sufficiently large delay, \(\delta \), destabilizes the system because the rate of change toward the equilibrium setpoint remains too high when that rate depends on a past value of the system state.

In particular, the dynamics in Eq. 13.4 describe a simple lagged feedback system. At each time, t, the error between the target value and the system state from \(\delta \) time units ago is \(\hat{r}-x(t-\delta )\). That lagged error, multiplied by the feedback gain, k, sets the rate at which the system moves toward the setpoint.

Because the system state used for the feedback calculation comes from a lagged time period, the feedback may not accurately reflect the true system error at time t. That miscalculation can destabilize the system.

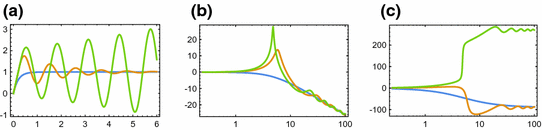
Fig. 13.2
figure 2

Feedback delay destabilizes a simple integrator process. a Temporal dynamics from Eq. 13.4, with gain \(k=5\) and unit step input \(r(t)=1\). The feedback delays are \(\delta =0,0.25,0.33\) shown in the blue, gold, and green curves, respectively. b Bode gain plot of the associated transfer function in Eq. 13.3. Greater feedback lag increases the resonant peak. c Bode phase plot. Note how the destabilizing feedback lag (green curve) creates a large phase lag in the frequency response

Full size image

Figure 13.2a shows how feedback lag can destabilize simple exponential decay toward an equilibrium setpoint. With no time lag, the blue curve moves smoothly and exponentially toward the setpoint. The gold curve illustrates how a relatively small feedback lag causes this system to move toward the setpoint with damped oscillations. The green curve shows how a larger feedback lag destabilizes the system. The Bode plots in Fig. 13.2b, c illustrate how feedback delay alters the frequency and phase response of the system in destabilizing ways.

In earlier chapters, I showed that high gain feedback systems move rapidly toward their setpoint but may suffer sensitivity to destabilizing perturbations or uncertainties. Feedback lag may be thought of as a kind of perturbation or uncertainty.

Fig. 13.3
figure 3

Greater process gain, k, can be destabilized by smaller feedback lag, \(\delta \). Combinations of gain and lag below the curve are stable. Combinations above the curve are unstable. Stability is determined by the maximum real part of the eigenvalues for Eq. 13.4 with constant reference input

Full size image

Figure 13.3 shows how the system gain, k, enhances the destabilizing effect of feedback lag, \(\delta \). Combinations of gain and lag below the curve are stable. Combinations above the line are unstable. Systems with greater gain can be destabilized by smaller feedback lag.

Process delays differ from feedback delays only in the extra lag associated with the reference input. For the process delay system given by the transfer function in Eq. 13.2, the dynamics are

$$\begin{aligned} \dot{x}(t)=k [r(t-\delta )-x(t-\delta )], \end{aligned}$$

which describe an error integrator lagged by \(t-\delta \). For constant reference input, \(r(t)=\hat{r}\), the process delay dynamics are the same as for the feedback delay dynamics in Eq. 13.4.

5 Smith Predictor

Compensating for a time delay requires prediction. Suppose, for example, that there is a process delay between input and output, as in Fig. 13.1b. The Smith predictor provides one way to compensate for the delay. To understand the Smith predictor, we first review the process delay problem and how we might solve it.

In Fig. 13.1b, the time-delay transfer function in the process, \(e^{-\delta s}\), maps an input signal at time t to an output that is the input signal at \(t-\delta \). Thus, the open loop \(CPe^{-\delta s}\) transforms the current input, r(t), to the output, \(y(t-\delta )\). The measured error between input and output, \(r(t)-y(t-\delta )\), gives an incorrect signal for the feedback required to push the tracking error, \(r(t)-y(t)\), toward zero.

One way to obtain an accurate measure of the tracking error is to predict the output, y(t), caused by the current input, r(t). The true system process, \(Pe^{-\delta s}\), has a lag, and the unlagged process, P, may be unknown. If we could model the way in which the process would act without a lag, \(P^*\), then we could generate an estimate, \(y^*(t)\), to predict the output, y(t).

Fig. 13.4
figure 4

Redrawn from Fig. 5.1 of Normey-Rico and Camacho (2007), \(\copyright \) Springer-Verlag

Smith predictor to compensate for time delay in the process output.

Full size image

Figure 13.4 shows the feedback pathway through \(P^*\). If \(P^*\) is an accurate model of P, then the feedback through \(P^*\) should provide a good estimate of the tracking error. However, our goal is to control the actual output, y, rather than to consider output estimates and feedback accuracy. The Smith predictor control design in Fig. 13.4 provides additional feedbacks that correct for potential errors in our model of the process, \(P^*\), and in our model of the delay, \(\delta ^*\).

In Fig. 13.4, the pathway through \(P^*\) and then \(e^{\delta ^* s}\) provides our model estimate, \(y_m\), of the actual output, y. The error between the true output and the model output, \(y-y_m\), is added to the estimated output, \(y^*\), to provide the value fed back into the system to calculate the error. By using both the estimated output and the modeling error in the feedback, the system can potentially correct discrepancies between the model and the actual process.

The system transfer function clarifies the components of the Smith predictor system. The system transfer function is \(G=Y/R\), from input, R, to output, Y. We can write the system transfer function of the Smith predictor in Fig. 13.4 as

$$\begin{aligned} G=\Big (\frac{CP}{1+C\left( {P^*+\Delta M}\right) }\Big )e^{-\delta s}, \end{aligned}$$

(13.5)

in which the modeling error is

$$\begin{aligned} \Delta M = Pe^{-\delta s}- P^*e^{-\delta ^* s}. \end{aligned}$$

The Derivation at the end of this chapter shows the steps to Eq. 13.5.

The stability of a transfer function system depends on the form of the denominator. In the case of Eq. 13.5, the eigenvalues are the roots of s obtained from \(1+C(P^*+\Delta M)=0\). We know the process, \(P^*\), because that is our model to estimate the unknown system, P.

To obtain robust stability, we can design a controller, C, under the assumption that the modeling error is zero, \(\Delta M=0\). For example, we can use the methods from the earlier chapter Stabilization to obtain a good stability margin for C relative to \(P^*\). Then we can explicitly analyze the set of modeling errors, \(\Delta M\), for which our robust controller will remain stable. A design with a good stability margin also typically provides good performance.

6 Derivation of the Smith Predictor

The derivation of Eq. 13.5 begins with the transfer functions obtained directly from Fig. 13.4 for various outputs

$$\begin{aligned} Y&=ECPe^{-\delta s}\\ Y^*&=ECP^*=Y\frac{P^*}{Pe^{-\delta s}}\\ Y_m&=ECP^*e^{-\delta ^* s}=Y\frac{P^*e^{-\delta ^* s}}{Pe^{-\delta s}} \end{aligned}$$

with error input

$$\begin{aligned} E&=R-Y-Y^*+Y_m\\&=R-Y\big (1+\frac{P^*}{Pe^{-\delta s}}-\frac{P^*e^{-\delta ^* s}}{Pe^{-\delta s}}\Big )\\&=R-Y\frac{1}{Pe^{-\delta s}}\Big (P^*+\Delta M) \end{aligned}$$

with

$$\begin{aligned} \Delta M =Pe^{-\delta s}-P^*e^{-\delta ^* s}. \end{aligned}$$

Substituting the expression for E into the expression for Y yields

$$\begin{aligned} Y=CPe^{-\delta s}[R-Y\frac{1}{Pe^{-\delta s}}\left( {P^*+\Delta M}\right) ]. \end{aligned}$$

The system response, Y, to an input, R, is \(G=Y/R\), which we obtain by dividing both sides of the prior equation by R, yielding

$$\begin{aligned} G=CPe^{-\delta s}-GC\left( {P^*+\Delta M}\right) , \end{aligned}$$

from which we obtain

$$\begin{aligned} G=\left( {\frac{CP}{1+C\left( {P^*+\Delta M}\right) }}\right) e^{-\delta s}, \end{aligned}$$

which matches Eq. 13.5. When the model is accurate, \(P=P^*\) and \(\Delta M=0\), the system reduces to

$$\begin{aligned} G=\left( {\frac{CP^*}{1+CP^*}}\right) e^{-\delta s} \end{aligned}$$

for known model \(P^*\). This transfer function has the standard form of a negative feedback system with open loop \(L=CP^*\).

Author information

Authors and Affiliations

Corresponding author

Correspondence to Steven A. Frank .

Rights and permissions

This chapter is published under an open access license. Please check the 'Copyright Information' section either on this page or in the PDF for details of this license and what re-use is permitted. If your intended use exceeds what is permitted by the license or if you are unable to locate the licence and re-use information, please contact the Rights and Permissions team.

Copyright information

© 2018 The Author(s)

About this chapter

Verify currency and authenticity via CrossMark

Cite this chapter

Frank, S.A. (2018). Time Delays. In: Control Theory Tutorial. SpringerBriefs in Applied Sciences and Technology. Springer, Cham. https://doi.org/10.1007/978-3-319-91707-8_13

Download citation

  • .RIS
  • .ENW
  • .BIB
  • DOI : https://doi.org/10.1007/978-3-319-91707-8_13

  • Published:

  • Publisher Name: Springer, Cham

  • Print ISBN: 978-3-319-91706-1

  • Online ISBN: 978-3-319-91707-8

  • eBook Packages: Engineering Engineering (R0)

acostagraccer.blogspot.com

Source: https://link.springer.com/chapter/10.1007/978-3-319-91707-8_13

0 Response to "Delay Approximation in Continuous Time Systems"

Post a Comment

Iklan Atas Artikel

Iklan Tengah Artikel 1

Iklan Tengah Artikel 2

Iklan Bawah Artikel